Самарский рыболовный портал SAMARAFISHING.RU Главная страница



Автор Тема: Кубок СО по ловле на спиннинг с лодок 12-13 октября база Удача  (Прочитано 21567 раз)

0 Пользователей и 3 Гостей просматривают эту тему.

Оффлайн Fedirich

  • Регистрация: 2012-01-01
  • Сообщений: 976
    • Просмотр профиля
Поздравляю победителей с Победой! [smile=klass]Ну, а проигравших, просто с хорошей рыбалкой! ;)



olegryzhk

  • Гость
Впервые участвовал в таких соревнованиях. В первый тур наковырял травянки почти на десятку, заняв по итогам первого тура 6 место.
Во втором туре практически обделался, приехав с 0. Большей частью метался с меляков на джиговое русло на 2 сильном моторе. В результате ни там, ни там ничего не поймал. В следущий раз буду умней.
А так в все понравилось, организация на хорошем уровне.
Как пожелание нужно щуку мерить с сантиметров 50. а то много мелкой губится.
Да и в следущий раз если будут соревнования на той же акватории, и крупная щука будет брать на русле, 90% участников будет там джиговать, кидать друг другу под лодку. Меляки облавливать воблерами просто потеряет смысл.

За это сообщение сказали спасибо:

Card, Ksa

rybachok

  • Гость
В
Да и в следущий раз если будут соревнования на той же акватории, и крупная щука будет брать на русле, 90% участников будет там джиговать, кидать друг другу под лодку. Меляки облавливать воблерами просто потеряет смысл.

Да кто его знает где щука будет стоять в следующем году. Зависит от погоды- поздняя будет осень или ранняя.

Оффлайн sergik

  • Регистрация: 2010-11-14
  • Сообщений: 198
    • Просмотр профиля
Меляки облавливать воблерами просто потеряет смысл.
Согласен, но соревнование по ловле спиннинга, а не по ловле в траве, хотя в первый день был именно там :-[

olegryzhk

  • Гость
Согласен, но соревнование по ловле спиннинга, а не по ловле в траве, хотя в первый день был именно там :-[
Мне пофигу, я себя нормально чувствую как на меляках так и на джиге.
Понятно что америку не открою,  но акваторию нужно подбирать максимально приближенную к акватории следующему ЧР. Чтобы тот спортсмен кто поедет, был готов к подобной акватории.

Да кто его знает где щука будет стоять в следующем году. Зависит от погоды- поздняя будет осень или ранняя.
Там в любом случае её будет в достаточном количестве.

Оффлайн IIAJIbI4

  • Регистрация: 2009-01-02
  • Сообщений: 649
    • Просмотр профиля
Олег следующий КР или ЧР  50% будет именно на этой акватории  ;)

rybachok

  • Гость
Олег следующий КР или ЧР  50% будет именно на этой акватории  ;)
Супер. Постараюсь быть  хоть болельщиком.

Оффлайн Sergee

  • Регистрация: 2006-03-09
  • Сообщений: 1908
  • Samara Trout Club @sergee_samara
    • Просмотр профиля
Федерация совместно с руководством базы "Удача" заявились на ЧР 2014 по спину. Но еще не утвердили
Работа работой, но надо и что-то полезное делать

Оффлайн HeOn

  • Регистрация: 2010-03-09
  • Сообщений: 2179
    • Просмотр профиля
Всех поздравляю! Свершилось! Мы сделали лодочные соревнования на хорошем уровне, на хорошей акватории. Мне давно хотелось чтобы у нас появилось нечто подобное. Мне было очень приятно участвовать в этих соревнованиях.
Спасибо организаторам! Спасибо администрации базы "Удача"!
Отчет писать наверное не буду. Сергей morozzz в принципе все написал с точки зрения нашей команды.
Поздравляю победителей и призеров! Сызрань молодцы, утерли нос зазнавшимся "столичным". С удовольствием поборолся бы с вами еще. Короче, даешь реванш ;)

Ну и немного фоток.
Женек трофеит.

"На старт приготовиться ..."

Спортсмены на старте

"А нас не догонят ..." Старт спортсмена на веслах. 15 минут форы. Выступил достойно.

"Моторные" ждут своей очереди
« Последнее редактирование: 14 Октября 2013, 21:55:15 от HeOn »
Instagram sergey.niculin
www.facebook.com/SergeyNiculin
vk.com/sergeyniculin
www.youtube.com/SergeyNiculin

За это сообщение сказали спасибо:


Оффлайн Костя Раткевич

  • Регистрация: 2008-04-09
  • Сообщений: 1150
    • Просмотр профиля
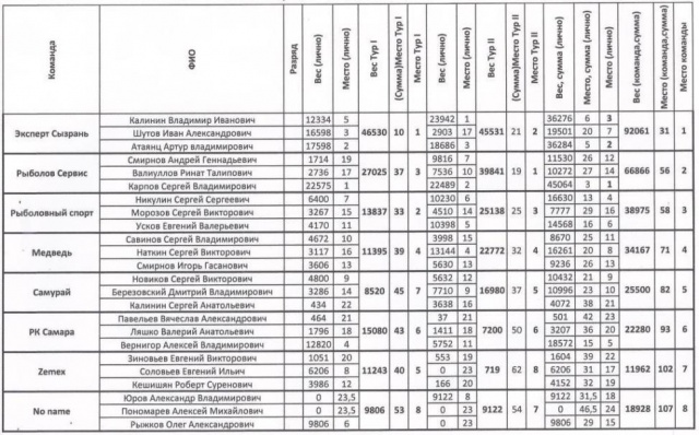
http://www.smrfishing.ru/distribution/viewtopic.php?f=6&p=19158#p19158тут протокол выложил. извиняйте раньше не сложилось. Работа, дети, семья. Только щас руки дошли.
Ловись рыбка.... Нас переполняет гордость:)

За это сообщение сказали спасибо:

Бoрода

Оффлайн SeKa

  • Регистрация: 2004-10-26
  • Сообщений: 1060
  • Рыболовный спортивный клуб "ЖИГУЛИ"
    • Просмотр профиля
Сергей Калинин - https://www.facebook.com/SergeyA.Kalinin

За это сообщение сказали спасибо:


Оффлайн Артурр

  • Регистрация: 2012-03-10
  • Сообщений: 194
    • Просмотр профиля
Всем добрый вечер !!!!!!!!!!!!!!!! ДА , это свершилось   :+_  ура!!!!!!!  Всех поздравляю с этим праздником  :D  проходившим на базе ,,Удача,, . Очень рад , что принял участие в этих соревнованиях и сразились с ,,Моснтрами ,, Самарского спиннинга   :D  Когда увидел , что приедут столько команд, да еще и такие люди  :-[  немного стало не по себе .Врать не буду, задача была попасть хотя бы  в дюжину , но и то сомнения были .
Тренировок у нас не было там , были мы там в начале сентября и рыба была совсем на других точках .Так , что мы были почти в равных условиях .Тактика на соревнования была проста , решили не изобретать велосипед и разделились  .Так как я ловлю на мелководье лучше ,чем мои напарники ,мы и решили меня отправить на меляк , а ребята пошли на глубину в надежде на крупного судака и щуку .Со старта я пошел на сентябрьскую любимую точку , но увы, она не принесла не единой рыбки , тут я решил идти на меляк , как и планировал .По пути увидел бьющего жереха , решил встать и попробовать поймать зачетного ,,Корсара ,, с шести забросов я поймал пять жерешков , но увы не зачет .Решил продолжить путь на меляк .На меляке пробыл не долго , но увидел несколько выходов щучки .Щука вялая , решил замедлить проводку .Покидав несколько минут слышу телефон звонит , в трубке голос моего напарника Володи (бегом на яму, Ваня взял три щуки крупных и я одну )..Я сразу сматываюсь и бегом туда   [smile=rotate.gif] встав на точку, решил  бросать 24 грамма , но увы не тычка , потом решил уменьшится , чтоб приманка медленнее падала , как бы подвисала  в толще воды ,иногда такой прием дает отличные результаты .Ставлю 14 грамм и ,,Аваруну ,, натурального цвета и результат не заставил себя ждать .Первая щука примерно на треху , фух  [smile=klass] есть закрылся .Покидав немного решил поменять приманку , ставлю ,,Шекер,, натурал и на второй проводке садится ,, мамка,, повозился я с ней , а в голове не сходи , не сходи ПОЖАЛУЙСТА  ;D  Взяв ее в подсак и закив лодку я  понял , что этот экземпляр, как минимум на семерку и чуть не потерял сознание от счастья :D  Покидав немного еще по яме решил побросать вдоль ямы . С первого заброса мощнейшая поклевка , спин в дугу фрикцион зажжужал , но увы сход .По ощущениям это тоже была мамашка не менее той , что была у меня в лодке. Много экспериментировал с приманками и глубинами .Потерял много времени , но не зря ,сделав выводы на будущее и определился с приманками , которые работали .В итоге я поймал 4 щуки и было два досадных схода схода .А самый большой шок я испытал при окончании взвешивания  :o :o :o Когда увидел результаты Mamma Mia! МЫ первые .Обошли таких ребят .В голове мысль ( ну хоть денек почувствовать себя лидерами  ;D) Во второй день было понятно , что все будут на яме .Ну решили не сдаваться , а придерживаться той же тактике и приманкам , что и в первый день .С утра пришел на точку , там уже толпятся .Встаю дальше и вижу , как оттуда достают щучар , да не одну .Пробовал все , но увы не могу закрыться и место сменить не могу , просто его нет  :D Но тут на мое счастье ловлю мамку на 7ку .Немного погодя звонок Вовка говорит , что взял трех с глубины ,а народ весь ушел оттуда и место есть .Я туда , встаю и опять балдерис .Решаю сменить тактику , посмотрев на народ увидел , что все стоятна 11-12 метров .В голове мыслишка пробежала ( хитрая ) Я встаю на 9 метров и кидаю на 12 , а клюнула на 11  м и сразу результат .Щука злая попалась, спин в дугу  [smile=klass]  кайффффффффффф !! Рядом со мной стоял спормен, не поймав ни чего он решил сменить место .   
Я встаю на его место ,  точнее не на его место , а напротив него на глубину 9,5 метров и кидаю туда где стояла его лодка .На второй проводке удар и завязалась битва .Взяв щуку  , а потом еще одну я начал понимать , что это уже тенденция .Мы в начале стояли на голове у рыбы и может поэтому не ловили .Короче говоря, мне показалось именно так ( может я не прав , но все же ) Звоню Вовке , он тоже закрылся хорошо и использовал то же метод , что и я .А вот Ваня , который в первый день отловился отлично во второй день не мог даже закрыться .Вот этот факт и был нашей головной болью , ведь на кону медали  sm:4 и мы так близко к ним .Короче говоря остается до финиша 30 минут и я  понимаю , что Ваня сегодня будет с нулем и уже приготовился вытаскивать якорь и идти к финишу , как вдруг смс (Ваня закрылся ) я чуть не об...я от счатья ! 
Блин , как в кино  :D ,где супер герой обезвреживает бомбу на последней секунде  :D Короче говоря судьба .

Хочу сказать , что может это везение или что то другое sm:4  выводы делайте сами , а то что щука брала не по канонам, это уж извиняйте ребята , я тоже перестраивался на месте .Менял приманки , веса чебурах , цвета приманок и тд ... .Это рыбалка , а не физико математический кружек с ихними формулами .Ловили ведь все в одной яме , рядом с друг другом и как говорится ( с одной колоды раздавали )
Да , щука была , но ведь если бы она жрала  все подряд  и плавала везде  , тогда бы все поймали ее ???
Ну ,да ладно бог с ним повезло , так повезло .В следующий раз скажем рыбе , чтобы она стояла только на бровках и аномалиях , а не шастала где не поподя  :)
Я очень рад был сражаться с вами ребята  :) и пускай мы сегодня победили , все равно будет и на вашей улице праздник .Эти соревнования подарили мне  бурю эмоций и пищу для размышления . Очень рад , что познакомился с  Никулиным  Сергем (HeOn) ,Усков Евгением (fr0z9n) ,Морозовым  Сергеем (morozzz) ребята вы все равно ,, Монстры ,,  [smile=klass]      Косте Раткевичу желаю здоровья  он три центнера рыбы перелопатил  :D .
Ребята, было очень приятно с вами соревноваться !!!!!!!!



 Всем огромное спасибо , что нашли силы, средства  и приехали  на эти соревнования .Отдельное спасибо организаторам и спонсорам.
Праздник прошел классно !!!!!!!!! 
« Последнее редактирование: 15 Октября 2013, 00:51:54 от Артурр »
ПОДВОДНАЯ ОХОТА = БРАКОНЬЕРСТВО !!!!!!!!

Оффлайн SeKa

  • Регистрация: 2004-10-26
  • Сообщений: 1060
  • Рыболовный спортивный клуб "ЖИГУЛИ"
    • Просмотр профиля
Два дня, за которые я понял, что не умею ловить спиннингом...

После опубликованного Положения о проведении Открытого Кубка Самарской области по ловле на спиннинг с лодок я решил, что  участвую!  Решающим, было то, что возможно было арендовать лодку с мотором и эхолотом на базе «Удача», где были запланированы соревнования (поскольку я в настоящий момент «безлошадный» в смысле плавсредства).
Вспомнив, что лет 10-7-5 тому назад мною приобретались спиннинговые снасти (по тем временам недешёвые) я решил, что касательно экипировки я практически готов.  Некоторые вопросы возникали по поводу плетёнки (которая за это время могла «подсгнить»), а также приманок. Их, конечно, в наличии имелось не одна коробка... но тем не менее.
В качестве подготовки к этим соревнованиям решил вспомнить, что такое спиннинг, и поучаствовать в двух соревнованиях, Береговом Чемпионате СО по спиннингу на Копылово и Фестивале сети магазинов «Клёвое место» памяти Андрея Авдонина.
На соревнованиях по береговому спиннингу за три часа вымучил двух бычков и одного окуня... занял 13-е место... выполнил норматив 3-го разряда... и возомнил себя о@@@тельным спиннингуем!  ;D
Фестиваль «Клёвое место» расставил всё по местам. Был я в команде с Баджером. В первые полчаса соревнований я имею поклЁвку... подсекаю... начинаю вываживать... фрикцион зудит...
... минута молчания... рыба сходит...  :%
Анализируем.  Фрикцион НЕ БЫЛ ЗАТЯНУТ! Поэтому подсечка была «ниочЁм». Пробить пасть судака не удалось.
Рыбалим дальше и я понимаю, что я, на свой Тайфун-ЗЕД от Серебряного Ручья при бОльшем весе «чебурахи» наблюдаю меньшую реакцию хлыста, чем у Андрея, который работает с меньшим весом.
Первый «звоночек» прозвенел...
В итоге мы на «Клёвом месте» с нулём. Отлично отдыхаем на первом обходе.  [smile=beer2]
До Кубка СО остаётся меньше недели..
Анализируя место проведения предстоящих соревнований (с момента опубликования Положения),глядя на акваторию на спутниковой карте, читая форумы, отчЁты, выслушивая мнения бывалых и т.п. , создаётся впечатление, что предстоит рыбалка в разливах с глубинами от 30 до 300 см. Поэтому рулить будут воблеры, железяки и незацепляйки. Выхода в русло не будет и глубокая джиговая яма будет перекрыта организаторами.
Дабы пополнить свои познания в модных тенденциях спиннинговой ловли в последние два года, пишу в личку Заслуженному Эксперту Самарской области по воблерной тематике (и не только) своему хорошему знакомому товарищу SergD (Сергею Дмитриенко) с просьбой посоветовать некоторое количество моделей работающих на ожидаемой на соревнованиях глубине воблеров при ограниченном некоторой суммой бюджете.
В ответ СерЁга  задаЁт вопрос: «Какими палками собираешься ловить?»
Я с гордостью описываю ему свои палки 10-7 летней давности приобретения.
В ответ получаю типа: «Ню-ню...»  ;) С комментариями и обоснованиями этого «Ню-ню...»
На следующий день заезжаю в самый поплавочный рыболовный магазин города Тольятти (который находится на улице Громовой) и, между прочим, завожу разговор о современных спиннинговых палках. В итоге (спасибо Олегу «Рыбачок-ТЛТ») уезжаю оттуда обладателем палки AIKO Realizor 250 7-47, заточенной под джиг.
На следующий день заезжаю к SergD за коллекцией воблеров, которые он приготовил мне из своих запасов. Обсуждаем, как ими пользоваться и в итоге он вручает мне на время соревнований свою AIKO BALTASAR, заточенную под воблеры. Рекомендует приобрести ещё одну модельку воблера и плетёнку под эти задачи. Даёт толковые советы как использовать имеющиеся катухи на те палки, которые у меня появились.
Короче говоря... в итоге я экипирован и к соревнованиям готов...  ;)
Решаю всё возможное и невозможное на работе, чтобы стартовать на базу в пятницу. К сожалению, Дмитрий «БерЁза» в пятницу не может выехать, Олег «Рыбачок-ТЛТ» тоже. Выдвигаюсь из Тольятти один... в районе одиннадцати.
Дорога отличная... за 3,5 часа добираюсь до базы. Заезжаю. Пытаюсь заселиться. Мне пытаются «впендюрить» 4-х местный коттедж на одного под предлогом, что одно койко-место они не продают. Я сопротивляюсь и «угрожаю», что буду ночевать в машине  ;D)
В итоге мы сторговались...
База, конечно, супер. (по сравнению с обходами на Василях). Фотки выкладывал уже.
Решил перекусить в кафе. Переговорил с егерем Дмитрием на предмет возможности арендовать лодку с егерем. На что услышал то же самое, что и в тот день от администратора, когда бронировал домик на пятницу, что все егеря расписаны под клиентов. Также выясняется, что эхолотов на наших лодках не будет. unpleasant surprise!!! Звоню и сообщаю об этом своим коллегам по команде.
Сажусь за стол... заказываю пиво и суп-харчо... Попиваю пиво...
Подходит Дмитрий (егерь) и говорит у меня сейчас есть минут 30 свободного времени, если администрация возражать не будет, я могу тебя прокатить-показать акваторию.  [smile=klass]
ОТЛИЧНО! оставляю недопитым пиво, бегу в машину за тёплой курткой, шапкой и навигатором и обратно в катер к Дмитрию.
Выдвигаемся... Дмитрий показывает, где будет заход в акваторию соревнований.  Выясняется, что он был в составе экипажа, который занял второе место неделей назад на фестивале «Трофеи Дайвы».
Довозит до первого места и объявляет, что здесь яма до 16 метров.  Ставлю точку в навигатор (спасибо за сей девайс Олегу).
Из полезной информации: груза до 30 грамм, вставать на мель, бросать на глубину, берЁт крупная щука, возможен выход жереха до 1 кг.
Едем на базу, по дороге забиваю в навигатор точку, на которой «минноунжит» Шанин.  ;)
Спрашиваю егеря, что я должен за прогулку? От денег Дмитрий отказывается. Проставляюсь Хорлбатом [smile=beer2]
По приезду допиваю пиво, откушиваю суп-харчо и отбываю в домик, где в течение нескольких часов спокойно под «Хорлбат» собираю спиннинги, оснащаю чебурахи и т.п.
Под вечер возникает желание проверить Инет, но его в домике нет. МЕГАФОН там мЁртв.
Решаю выдвинуться в бар, дабы получить халявный Wi-Fi. По приходу вижу весЁлую компанию приятных людей, которых, к сожалению, сразу не узнаю. Потом выясняю, что с некоторыми из них мы уже виделись на Копылово и они тоже приехали соревноваться. Это были ребята из Сызрани (Артур, Володя, Иван)  и Сергей Карпов с Ринатом Валиулловым.
Начинается футбол Люксембург-Россия... телевизор в баре не работает :( и я отправляюсь допивать Хорлбат под футбол в «свой» коттедж...  ;) СОРЕВНОВАНИЯ
СОРЕВНОВАНИЯ
Будит звонок напарника по команде Димы :o
Регистрация, выезд на старт, пытаюсь настроить свой эхолот :o Не включается :o У Димы Березовского и Сергея Новикова из моей команды эхолоты вроде работают. Но у меня есть навигатор с точкой, где секретная яма, поэтому мы решаем выдвигаться сначала туда.
ПЕРВЫЙ ТУР
СТАРТ
Мы доходим до ямы... якоримся... начинаем джиговать... у меня чебураха 28 гр + виброхвост... Пытаюсь найти бровку с помощью якоря... За спиной трава и метра 2 впереди вроде бы глубоко... Дима по рации сообщает, что под ним около 12...
Бросаю... джигую... смотрю по сторонам... ничего особенного... Никто сачками не машет...
Через какое-то время передаю Диме, что, наверное,  поеду изучать акваторию, смотреть, что в траве, он говорит, что останется изучать яму. НашЁл место, где глубина 16 метров...
Через некоторое время рация взрывается возгласом Димы: «ЗачЁтная щука! Мамка ввалилась!» :#~
Долго пытаю по рации какова мамка? в итоге слышу... кила 4...  8)
У меня ничего не джигуется... Отправляюсь на изучение акватории... В траве ничего не нашёл, кроме зацепов этой травы... Шанинская точка оказалась за пределами акватории соревнований...  Прокатился вверх... возвращаюсь к яме.
По ходу вижу бой чайки... конкурента ;) , вытаскивающего приличного окуня и решаю попробовать ультралайт... Первый заброс — окунишка, ворос заброс — окунишка, третий заброс — не заметил как запуталась тоненькая плетЁночка (разматываю-обрезаю-восстанавливаю)... четвЁрый заброс окунЁк... пятый заброс окунишка... шестой заброс... «борода»...
Еду на точку, где стоит Дима... Он по рации (эхолота у меня нет) выставляет меня на точку... продолжаю ловить.
Через некоторое время слышу радостный вопль! По траектории понятно, что он доносится с катера Сергей Карпова...  :#~ Который видимо взял трофейный экземпляр. В голове откладывается мысль ;) Дима взял щуку кила на 4, Сергей Карпов потяжелее... Чтобы кто-то ещё махал сачками, я не видел, значит никто больше (как и я!) не поймал... :^! Значит Димон практически в медалях :^!
Остаётся до финиша чуть больше часа, заявляю Диме, что «поеду закрываться окунями» (типа как уклейкой)
Добираюсь до места... окуни не клюют... Вижу чайку и всплески.. Недалеко от лодки... Заброс ультралайтом микровоблера... поклЁвка... фрикцион визжит... жерех... ЕСТЬ!
Всплески всЁ дальше от лодки... не могу добросить микровоблер... Снаряжаю кастмастер... заброс... ЕСТЬ! Жерех... третий заброс — ЕСТЬ! — жерех?
И тут меня осенило... если на ультралайте фрикцион жжужал... не факт, что это в зачЁт... звоню СерЁге Новикову... жерех от 40 см... а мои три все как на подбор 30 см... НЕЗАЧЁТ... отпускаю...
Решаю караулить выход крупного, но увы... не дождался... ФИНИШ 8)
По приезду к финишу, мои глаза постепенно (спасибо, что постепенно) начинают округляться от результатов, с которыми приезжает народ... Короче, протокол вывешен...
ПОСЛЕ ПЕРВОГО ТУРА
Оправившись от некоторого шока, начинаем анализировать происшедшее.
Выводы:
Место ловли: яма
Веса: до 24 грамм
Приманка: твистер
Заброс: в глубину
Я без эхолота: становлюсь в зоне от 50 метров от Димы
Стратегия: с ямы не дёргаемся
Тактика: если нет результата... перемещаемся по яме по еЁ периметру...
ВТОРОЙ ТУР
СТАРТ
Большинство экипажей выдвигаются на яму...
Я по рации запрашиваю где встал Дима... становлюсь метров за 100 напротив него, чтобы кидать в его направлении... глубина на якоре приличная.
В течении первых 30-40 минут у меня поклЁвка... Подсекаю... Вывожу... Завожу в подсак... проблем никаких... Слава Богу! От нуля ушЁл! Можно расслабиться...  :)
Соседи, заметив, что у меня поклЁвка реализована, начали меня «обуривать»  ;D
Ну и, видимо, был выход щуки? поклёвка то у одного, то у другого... Такое впечатление, что она проходит через эту яму (протоку) группами.  ::)
Через некоторое время у меня опять поклёвка... подсекаю... вывожу... успеваю сделать оборотов 10 катушки — сход...
Потом затишье...
Дима сообщает, что собирается проверить свою вчерашнюю нижнюю точку... Я говорю, что встану на его место... удобнее забрасывать по ветру...  Становлюсь на его точку.
КлЁва нет, соседи начинают  «рассасываться».Уходит сосед сверху. Я делаю заброс в сторону, где он стоял.  ПоклЁвка... Пауза... Опять поклЁвка вдогонку.  Подсечка. Вывожу...
Подвожу к лодке... Чуть поболее первой на вид. Пытается сделать свечку, но не убедительно. Я подсак в руки... в воду.. она увидев его, делает разворот от лодки на 180 градусов и в глубину...
Мне бы, дураку, отыграть этот еЁ манЁвр, хотя бы подняв удилище вверх, но я, завороженно смотрю на щуку... она вытягивает плетню в одну линию с палкой и делает «бздынь!» плетЁнка рвЁтся...
Я в шоке? смотрю катушку и понимаю... что если на «Клёвом месте» у меня фрикцион на ней был не затянут, то в этот раз ПЕРЕЯНУТ!! Короче говоря, ЛОШАРА!!! САМ ВИНОВАТ!!!
Отдышался... вздохнул... поднял правую руку и резко опустив вниз и произнеся: «Ну и ХЕР с ней!» я продолжил соревноваться...
Выбрав такую же резину на такой же чебурахе я замедлился на поводке. Тот который я взял в руки (покупной) 25 см... или производства Николая «Sauron» Чернова длиной 15 см?
Нежелание признавать себя «лошарой», который не отрегулировал фрикцион катухи, а желание списать на длину поводка, которой (якобы) не хватило и поэтому щука его срезала, стало причиной по которой был выбран покупной поводок. Хотя СМУТНЫЕ СОМНЕНИЯ меня терзали... ))) По поводу карабина...
Ну и ладно.
Снаряжаю... Джигую... Ничего...
У всех соседей тоже ничего...
Сосед сверху решает менять место. Я планирую перебраться на его место только лишь потому, что удобнее делать заброс в яму по ветру. Он снимается с якоря и отплывает... я, только сделав заброс, начинаю выматывать приманку... она идЁт вполводы.. и ТУТ! ХВАТЬ!!!
Е@AТЬ!!! (простите меня за нелитературное выражение)
Но иначе это «ни в словах рассказать, ни пером описать».
Это было: ШОУ В ЛОДКЕ НА ДВОИХ: Я и СПИННИНГ. Третий был под лодкой.
Реально... спиннинг был в кольцо (фото висят)... поднять этого монстра я так и не смог... был разогнут карабин на поводке...
Кто там был, я не знаю...
Точно не щука... крупная щука так резво не бегает, как этот экземпляр...
Мои две версии:
Либо трофейный жерех.
Либо забагренный трофейный лещ.
Про сома не знаю... не ловил
Короче говоря... эта крайняя поклЁвка... это вываживание... и этот сход... — это самые яркие впечатления от двух дней соревнований!
 Результаты всем известны :) Мои поздравления победителям!
Сызранцы! Респект!
Сергей Карпов — Респект и Уважуха!
« Последнее редактирование: 15 Октября 2013, 04:16:05 от SeKa »
Сергей Калинин - https://www.facebook.com/SergeyA.Kalinin

Оффлайн Bereza

  • Регистрация: 2005-05-25
  • Сообщений: 182
  • автосервис и запчасти
    • Просмотр профиля
Всем привет!
Наконец  то собрался с мыслями
Впечатлений уйма, давно не испытывал ничего подобного :#~, но обо всем по порядку
Что подвигло меня принять участие в данном мероприятии? – скорее всего наблюдение за этапами соревнований PAL (уж очень стало похоже на Формулу 1, техническое оснащение все круче, а рыба все крупнее, страсти вообще зашкаливают)))
   Сначала репетиция на «Клевом Месте», но что то не то.. (теперь знаю что  [smile=beer2] )
И вот приближается 12 октября, чем ближе срок, тем больше дел и забот. Возникает мысль вообще отказаться от данного мероприятия, но внутренний голос говорит: НАДО ДИМА НАДО ехать, тем более, что уже есть команда и ты не один! Подводить товарищей никак нельзя!
Пятница.  Сергей на базе. Вести не радуют: лодка без эхолота, с егерем толком съездить не удалось, порыбачить проверить точки тоже((. Начинаю судорожного обзванивать всех знакомых у кого может быть мобильный эхолот, ни у кого нет…  но тут все ж удача улыбнулась, один знакомый рыболов работает суб-вос и может дать аппарат –ура! Одной проблемой меньше.  Домой приехал уже поздно, вместо сна мысли грызут мозг, все ли взял: снасти, приманки, поводки, кольца, карабины, крючки …………………………….……..можно продолжать бесконечно. САЧОК!!! Сачка нет!!! А вдруг рыба… в нервозе продремал до 4. Подъем, душ, термос, бутеры  и в дорогу.
Суббота.  В первую очередь через Аврору за сачком, давно там не был, хотел заехать в тот магаз что на автостанции, а там чет тишина и магазина нет или просто не заметил, в Ирбис решил не возвращаться в надежде что на выезде перед кольцом магазин работает. Так и есть, покупаю сачок на самую большую рыбу и вперед к «Удаче».  На подъезде к базе так и не смог определить начало деревни, где там этот съезд.. связь отвратительная, Сереге дозвониться никак не могу,  поехал через деревню, на удивление, довольно просто проехал почти не заплутал, везде сухо и накатано.
  Серега встретил на парковке, решили сначала позавтракать и обсудить стратегию предстоящей баталии. Исходных данных было мало, точнее сказать вообще ничего не было…  Пару мест показанных егерем и все..  Решили так: начнем с ямы, а там война план покажет. База, с первого взгляда , показалась даже очень ничего все чистенько, дорожки, домики.. лодки оформили на причале получили доверенности на управление, зарегистрировались у администратора. Вот и Константин прибыл, значит скоро начало регистрации. Оказалось наша команда называеца  какие то там САМУРАИ не помню, новые или старые, волосатые.. не важно.
Далее торжественный обед, построение, на старт внимание марш!  Перед стартом снарядил три палки: джиг, воблер и жереховую на все случаи предполагаемой рыбалки))
По лодкам и к месту старта. Отъезжаю от причала метров 100 и вдруг глохнет двигатель!!!! Все кончились соревнования :% Лодок то свободных больше  нет! Вызываю Сергея по рации, пока он едет, начинаю проверять топливную систему, дергаю шланг оппа он не пристегнут к баку! Защелкиваю, завожу, тут подъехал Сергей – все нормально! Продолжаем движение к стартовой линии. Когда подъехали к старту я понял, ни то что по траве ловить или по затончикам шарица, как бы вообще дорогу назад на базу найти!
Итак, 12-00 старт, я стартовал перед Сергеем, поэтому сбавил обороты и пропустил его вперед , чтоб показал путь к яме, прибыв на точку начал обследовать данную акваторию. На эхолоте заметил бугорочек метров на 12, а под ним рыбку решил чуть отойти, глубина пошла вверх на 10м решил заякориться. Первые забросы, тишина. Народу по началу было прилично - лодок 10, через часок все начали рассасываться, Серега тоже решил срулить с ямы и проверить травянку, мной было принято решение остаться, и изучить яму повнимательней (плутать не хотелось, границы соревнований для меня вообще были не понятны,  и разбираться в этом особого желания не было) Решил двигаться галсами по яме, пробивая перспективные бугорки и свальчики, меняя приманки и веса. Так добрел до нижней точки ямы, заметил на эхолоте кучку рып, подошел с одной стороны – тишина, потом с другой и тут бац! Сначала легкий тычек, а затем мощная потяжка, сидит!!!(15ч15мин) Да какая! Сопротивление мощное, решив не давать никаких поблажек начал форсированное вываживание, все четко, с первого захода щука в подсачеке, заглотила по самые гланды! Вся лодка в крови, сам в крови, сердце колотится!! По рации шепотом: «Серега у меня мамка влетела!» Очень долго я ее отцеплял, на вид килограмма 4. Ну думаю: не победа конечно, но уже кое что! Вспоминая соревнования в Екатериновке, или на том же Клевом Месте, не говоря про Копылово с рекордными уловами)))
Далее заброс, опять поклевка, подсекаю – пусто откусила хвост у твистера, а такого снаряженного больше нет, начинаю быстро собирать, пока собирал, меня каким то образом сдернуло с якоря и ветром снесло на противоположный край ямы, вытаскиваю якорь, но соперник не дремлет и прямо перед моим носом занимает мою точку, спорт есть спорт, пытаюсь встать на допустимо-минимальное расстояние, но уже все не то, а соперник тем временем вытаскивает пару зачетных щук. Вот тут первая ошибка: начал нервничать, суетиться мотаться вокруг да около, нет бы голову поднять и посмотреть, что происходит выше!!! А выше началась раздача!! Время 17-00 народ начал ловить через заброс, а я продолжаю тупить на нижней точке(((     17-30  надо ехать к финишу. Серега ведущий, едем финишировать, смотрю как то не так вроде сюда ехали, Серега по рации сообщает, что так правильно и нам именно сюда и нужно, время 17-45 а мы в каких то камышах и ни каких предпосылок к финишу нет, потихоньку пытаемся прорваться через заросли камышей и тут перед нами лодка с охотниками – три ствола тихо шепчут идите отсюда мы типа в засаде, е мое все капец не успеем, и поперли назад в объезд, но всеж успели. А на финише народ уже толпится, судя по мешкам и хвостам торчащим из коробок уловы «мама не горюй». Взвешиваюсь 3286гр. Ни фига не 4, и ни фига не «мамка»)))))) тут Артур наповал сшибает всех присутствующих своим уловом, а народ шепчет вон та лодочка еще не взвешивалась и последнем на взвешивание приглашается Карпов Сергей  22575 гр.!!!! Все конечно мягко говоря в волнении (а точнее в а@!е) от первого дня соревнований, (особенно, ИМХО, москвичи которые здесь неделю рыбачили и поймали пару щук травянок и команда «Рыболовный спорт» которая посвятила тренировкам не один день)
Ну ессено за ужином и весь вечер обсуждаем, что завтра делать и как быть, однозначно ясно одно окушками и жерешками недомерками заниматься смысла нет никакого, а стало быть вывод один: ВСЕ НА ЯМУ!!!
    Ложимся баеньки, вроде неделю назад тоже были на соревнованиях и ночевали, и сейчас на соревнованиях и ночуем…  но разница какая то ощущается, то ли домик покомфортнее чем на первом обходе, толи рыба покрупнее… нет, наверно все дело в судьях.. так и уснули.
Воскресенье.  Денек как будто украли. Погода класс! В связи с ограниченным количеством сковородок на кухне (я ворвался на камбуз и насчитал ровно 3 штуки), повара не успевают пожарить яичницу и накормить всех оголодавших спортсменов, поэтому старт переносится и переносится, ну вроде как поели. Старт в 10.00!
Еду потихоньку по протоке. Ляпота. Золото по берегам. Раслабон и релакс после завтрака, погода, отсутствие похмелья,  и предстоящая рыбалка вызывают легкое и приятное волнение. Где Серега то? Скока можно собираться?? Тут голос из рации: «Я на стартовой линии» ни фига се, когда успел, газку и я на старте.  Стартуем, подлетаем к яме, занимаем места согласно стартовому протоколу и мощности двигателя. Решаю встать посередине между верхней и нижней точкой, сосед справа  уже вытаскивает первый трофей, значит, рыба никуда не ушла, горячий предстоит денек. Начинаю кидать. Приманка бьет по рыбе, бель.  На верхней точке вижу, как Карпов Сергей таскает одну за другой, чуть выше него стоит Калинин Владимир, что у него не видно, но народ жмется ближе к середине, то тут то там радостные тихие (чтоб никто не заметил) чмокания. Рыба клюет и чувствуется что ее много, но никак не могу подобрать ключик, меняю приманки, но ничего. Тут вспоминаю про одну секретную приманку, на офсетном крючке, приобретенную недавно у рыболова слева. Где то на третьем забросе поклевка и тяжесть повисает на том конце шнура, форсированное вываживание, рыба сопротивляется очень мощно, но никаких шансов не даю –рыба в подсачеке, судя по размеру такая же как вчера уже гуд! Продолжаем, через минут 30 мощный рывок, по той же схеме и рыба в лодке, а вот эта уже явно 5кг!!! Ну думаю если каждые полчаса по 5кг, то мы в шоколаде. Ошибка №2. Вижу, что Калинин Владимир перемещается с верхней на нижнюю точку, дальше вижу, что и его партнер по команде Артур тоже перемещается вниз. Карпов галсами пошел вниз мимо нас. В этот момент нам бы тоже подвигаться, но ни хрена :-X, чего двигаться то? Когда эхолот звенит, рыба клевала вроде бы… стою туплю, меняю приманки, экспериментирую с проводкой, а поклевок то нет и нет….  Где то в 14-30 снимаюсь, начинаю движение вниз, и с прискорбием наблюдаю обратное движение рыбаков, чую что поздно все это я затеял, так оно и вышло…
Вообще, наблюдая перемещение коллег по данному водоему (именно по яме) только у двоих я заметил какое то разумное системное перемещение, я и все остальные (как мне показалось) мотались скорее бессистемно по эхолото-интуитивным принципам.
Итак: финиш с весом второго тура 7710 гр.  Я очень доволен. Конечно могло быть и лучше, конечно если бы да кабы, наверняка можно было поймать и 50 и даже 100 кг. Но я доволен как слон тем, что поймал))) 
Итог: общий вес команды: 25500 гр. и почетное 5-ое место! Калинину Сергею и Новикову Сергею  спасибо за командный дух!!! [smiley=bis.gif]
              Мой личный вклад:          10996 гр.  10-ое место
_________________________________________________ _______________________
Очень понравилась работа на водоеме Калинина Владимира, правильное управление командой,  ну и сама команда супер!!! Заслуженное первое место!!!
Впечатлило мастерство Карпова Сергея! Классная техника в умелых руках – это сила!!! Класс!!! Мои поздравления с победой!!!
Если можно по судейству:
Судьи молодцы! :+_ Как у них терпения хватило, не отнять у кого-нибудь спин и самим порыбачить))))
Жеребьевка бы не помешала (особого значения конечно она не имеет, но сам процесс, как то символичен и был бы всем приятен однозначно)
Старт второго тура, наверное переносить было не нужно, регламент есть регламент,  и если завтрак мешает рыбалке (даже спортивной) ту ну его на @ этот завтрак)))) вечером решили бы как нить вопрос с утренним перекусом.
И еще, хотелось бы, чтобы у судей был какой-нить рупор, орать на весь водоем как-то не удобно и не безопасно (горло может заболеть)
Ну и наличие раций, для координаций своих действий, атрибут, наверное, не лишний.
Всем огромное спасибо! за организацию и проведение этого мероприятия! [smile=klass] [smile=klass] [smile=klass]
         Позитива хапнул – выше крыши!))  для меня это однозначно - рыбалка года!!! :+_
BEREZA FISHING TEAM

 








SimplePortal 2.3.3 © 2008-2010, SimplePortal