Самарский рыболовный портал SAMARAFISHING.RU Главная страница



Автор Тема: Чемпионат Самарской области по ловле на мормышку со льда 2022г.  (Прочитано 8960 раз)

0 Пользователей и 1 Гость просматривают эту тему.

Оффлайн ТИМ

  • Регистрация: 2011-07-01
  • Сообщений: 1441
    • Просмотр профиля
1. ОБЩАЯ ИНФОРМАЦИЯ
1.1.20 марта 2022года . на акватории пруда Самарский, посёлка Самарский, состоится  Чемпионат Самарской области  по ловле на мормышку со льда.
1.2. Соревнования пройдут в лично-командном зачете.
1.3. Соревнования из-за погодных условий или ненадлежащего состояния льда могут быть перенесены как по дате, так и территориально на запасной водоем – вдхр Черновское. Цель соревнований - выявление сильнейших спортсменов по рыбной ловле на зимнюю удочку с мормышкой, повышение рыболовного мастерства участников, пропаганда и популяризация спортивной зимней ловли рыбы в Самарской области.
1.4. Соревнования проводится в соответствии с Правилами вида спорта «Рыболовного спорт», утвержденными Приказом Минспорта России №572 от 28 июля 2020 г. и Регламентом подготовки и проведения соревнований вида спорта Рыболовного спорт» утвержденных 19.01.2011.
1.5. На соревнования приглашаются все желающие рыболовы и рыболовы-спортсмены вне зависимости от спортивного разряда проживающие в РФ.
1.6. Организатор соревнований: Федерация рыболовного спорта Самарской области (далее ФРС СО).
2.ХАРАКТЕРИСТИКА ВОДОЁМА
2.1. Пруд Самарский представляет собой запруженный овраг. Течение ветровое или отсутствует. Глубины переменные до 9 м. Основной видовой состав рыб: щука, окунь, плотва, уклейка, красноперка,ерш.
3. ТРЕБОВАНИЯ К УЧАСТНИКАМ СОРЕВНОВАНИЙ И УСЛОВИЯ ИХ ДОПУСКА
3.1. К участию в соревнованиях допускаются все желающие, достигшие 14-летнего возраста.
3.2. Участники возрастной категории от 14 до 18 лет обязаны быть в присутствии своих представителей. Представителями могут являться как родители, так и лица заменяющие их с предоставлением нотариальной доверенности от родителей.
3.3. Всем участникам необходимо иметь при себе: документ удостоверяющий личность - паспорт, медицинскую страховку ОМС или ДМС.
3.4. Членам спортивных обществ необходимо иметь при себе дополнительно: квалификационную книжку спортсмена с отметкой врача о допуске, договор (оригинал) о страховании жизни и здоровья от несчастных случаев.
3.5. Соревнования проводятся в дисциплинах:
Ловля на мормышку со льда - личные соревнования
4. ПОРЯДОК И ПРАВИЛА ПРОВЕДЕНИЯ СОРЕВНОВАНИЯ.
4.1. Порядок проведения соревнования.
4.1.1. Соревнования проводится в соответствии с Правилами вида спорта «Рыболовного спорт», утвержденными Приказом Минспорта России №572 от 28 июля 2020 г. и Регламентом подготовки и проведения соревнований вида спорта Рыболовного спорт» утвержденных 19.01.2011.
4.1.2. Соревнование проводится в один день в 2 тура продолжительностью 3 часа каждый. Соревнование может быть проведено при толщине ледяного покрова на акватории места соревнований не менее 10 см.
4.1.3. К зачёту принимается все виды рыб без ограничения размера кроме запрещенных к вылову, а также щука длиной не менее 32 см.
4.1.4. До окончания тура рыба сохраняется у спортсмена в чистом виде в однотипной таре, выдаваемой организаторами.
4.1.5. На соревнованиях разрешается пользоваться удочкой, оснащённой одной мормышкой. Длина тела мормышки без крючка не более 15 мм, крючок одинарный впаянный. Применение дополнительных элементов оснастки на леске и крючке запрещается.
4.1.5.Для обозначения лунок спортсмен должен иметь при себе два
маркированных флажка с указанием команды. Размеры флажка: полотнище 10×10 см, длина древка не менее 20 см. Флажки должны быть установлены таким образом, чтобы обеспечить
их видимость для других спортсменов и судей. Лежащий рядом с лункой
флажок не обозначает занятое место ловли, лунка считается свободной, если иное не объявлено главным судьей в случае неблагоприятных погодных условий. Спортсмен имеет право занять такую лунку, только уведомив судью.
4.1.6. В процессе ловли разрешается применять любые животные и
растительные насадки, кроме живых, мертвых и искусственных рыб, их
частей, живых и мертвых муравьев, муравьиных яиц и икры рыб.
Применение искусственных насадок запрещено.
Спортсмену на один тур соревнований разрешается использовать не
более 1 литра любой живой насадки и прикормки и 2 литров прикормочной
смеси растительного происхождения.
4.2. Определение результатов соревнования.
4.2.1. Улов для взвешивания предъявляется судьям только в чистом виде (без снега и льда) и предоставленной таре. Взвешивание уловов производится россыпью в единообразной таре.
4.2.2. За тур спортсмену начисляется баллы. 1 балл за 1 грамм рыбы. По результатам одного тура соревнований определяются места в личном зачете.
4.2.3. Взвешивание улова производится после финиша тура соревнований в месте, определенном судейской коллегией. Взвешивание уловов производится на электронных весах (стационарных) с точностью предусмотренной технической документацией на весы, но не более 5 грамм.
4.3. Тренировки.
4.3.1. Тренировки на акватории соревнования разрешены в любое время до 17.03.2022 года по всей акватории,начиная с 18.03.2022 не ближе 10 м. к линии разметки зон. Лица, нарушившие данный пункт, к участию в соревновании допускаться не будут.
5. ПРОЕЗД, РАЗМЕЩЕНИЕ, ПРОЖИВАНИЕ И ПИТАНИЕ УЧАСТНИКОВ
5.1. Проезд участников к месту соревнований и питание осуществляется участниками самостоятельно. Проживание не предусмотрено.
6. РЕГЛАМЕНТ СОРЕВНОВАНИЙ
06.00-06.40Сбор участников, регистрация
06.40-07.00 Жеребьевка двух туров соревнования
07.10 – Построение участников. Открытие соревнования.
07.30-Выдвижение к зонам первого(1) тура
07.40 – Перекличка спортсменов, подготовка к старту.
07.55 – Вход в зону.
08.00 - «Старт» 1-го тура.
11.00 – «Финиш» 1-го тура.
11.00 – 12.30 Технический перерыв .Взвешивание ,подведение предварительных итогов
12.40 Выдвижение к зонам второго(2) тура
13.10 – Перекличка спортсменов, подготовка к старту.
13.25 – Вход в зону.
13.30 - «Старт» 2-го тура.
16.30 – «Финиш» 2-го тура.
16.30 – 17.30 подведение итогов.
17.30 - награждение призеров, закрытие соревнования.
7. УСЛОВИЯ ФИНАНСИРОВАНИЯ
7.1. Финансирование осуществляется на долевой основе:
расходы по командированию спортсменов (проезд, проживание, питание, суточные, приобретение насадки и прикормки) — за счёт организаций, командирующих спортсменов или самих спортсменов. Оплата судейства и техническое обеспечение соревнований осуществляется за счёт ФСР СО и вступительных взносов.
7.2. Вступительный взнос для участников составляет 1000 рублей.
Вступительный взнос для членов ФРС СО, инвалидов, ветеранов и рыболовов-спортсменов с пропиской не в Самарской обл. составляет 700 руб.
Вступительный взнос с участников от 14 до 18 не взимается.
8. ЗАЯВКИ НА УЧАСТИЕ.
8.1. Подача предварительных заявок производится до 19 марта 2022 г. включительно.
8.2. Предварительные заявки на участие в соревнованиях подаются в произвольной форме:
8.2.1. На интернет-сайте Самарского форума рыбаков  в соответствующем разделе;и группе 
8.2.2. В личных сообщения в ВК https://vk.com/t94t94t94 ;https://vk.com/event210761368

В предварительной заявке указывается название команды, ФИО и спортивные разряды членов команды, и телефон для связи.
8.3. Данное положение является официальным вызовом на соревнование.
9. НАГРАЖДЕНИЕ.
9.1. Команды занявшие 1, 2, 3 места награждаются кубками, медалями.
9.2. Спортсмены в личном зачете занявшие 1, 2, 3 места награждаются медалями.
9.3. Могут учреждаться дополнительные призы, предоставленные спонсорами соревнования либо организаторами.

10.Координаты предварительной точки сбора и регистрации: 53.031322, 50.235384
« Последнее редактирование: 28 Февраля 2022, 11:48:57 от НЭ-БО »

За это сообщение сказали спасибо:




Оффлайн sauron

  • Регистрация: 2008-12-09
  • Сообщений: 8613
  • груза и поводки
    • Просмотр профиля
А в это время лед еще будет?
              Рыбачок

Оффлайн ТИМ

  • Регистрация: 2011-07-01
  • Сообщений: 1441
    • Просмотр профиля
А в это время лед еще будет?
              Рыбачок
в 20х числах  марта у нас всегда лед на закрытых водоемах достаточного состояния ,чтоб проводить соревнования. да и другие даты заняты  другими соревнованиями в соседних регионах

Оффлайн ТИМ

  • Регистрация: 2011-07-01
  • Сообщений: 1441
    • Просмотр профиля
Зоны соревнований хотелось бы на карте увидеть
рано еще,зоны будут размещаться там где будет больше рыбы

Оффлайн ТИМ

  • Регистрация: 2011-07-01
  • Сообщений: 1441
    • Просмотр профиля
в группе ВК скинул карту с расположением зон

« Последнее редактирование: 14 Марта 2022, 19:18:27 от ТИМ »

Оффлайн ТИМ

  • Регистрация: 2011-07-01
  • Сообщений: 1441
    • Просмотр профиля
Регистрация
1.Закамье 1
1.Чирков Александр Николаевич 1991 г.р, 2р
2.Сахратуллин Ильгиз Рафаэлевич 1997 г.р, 2р
3.Дорофеев Максим Михайлович 1989 г.р, 2р

2.Закамье 2
1.Нургатин Камиль Айдарович 2000 г.р, 1р
2.Гилманов Марсель Альфритович 1988 г.р, б/р
3.Горшков Игорь Евгеньевич 2004 г.р, б/р

3.Закамье 3
1.Перфильев Глеб Александрович 2004 г.р, б/р
2.Санков Андрей Николаевич 1993 г.р,б/р
3.уточняется

4.Перекат-РБ г.Стерлитамак Республика Башкортостан
состав уточняется

5. Team Fisher г.Самара
1.Коннов Сергей Геннадиевич 2р
2.Василенко Владимир Александрович б\р
3.Гадельшин Сергей Валентинович МС
 
6.Успех г. Самара
1. Бекмаматов Данил Дамирович 1р
2.Калугин Валентин Викторович КМС
3.Давлетбаков Тимур Рафаильевич КМС
 
7.Ульяновск
состав уточняется
 
личный зачет
1.Миннегалиев Равиль Асхатович, 1973г.р. 2р. Личка
2.Потемкин Андрей Александрович 2р. 1977гр
3.Мустаев Тимур Ринатович 07.01.1988гр 2 разряд

Оффлайн СТАРЧЕZzай

  • Регистрация: 2013-03-27
  • Сообщений: 555
  • Skype: paracetamil
    • Просмотр профиля
Всем привет.Кто едет из Самары из района площади Куйбышева?Есть одно место для человека без бура? :)

 Куда тебе?

Оффлайн GerrMess

  • Регистрация: 2009-08-05
  • Сообщений: 794
  • Немного ловлю, немного сужу
    • Просмотр профиля
Спасибо. Нашел с кем доехать, немного посудить
Терпение - главная добродетель хищников

Оффлайн Валерий

  • Регистрация: 2013-03-26
  • Сообщений: 200
  • Валерий
    • Просмотр профиля
Еду судить соревнования.Может кто забрать?телефон 89276512471
Валерий
Пересечение Московское шоссе,Ул Санфирова
Рыболовный клуб   "ВОЛЖАНЕ" 
РЕМОНТ СПИННИНГОВ,ПРОФИЛАКТИКА КАТУШЕК https://vk.com/id58089410
8987923 ноль два 89

Оффлайн Моряк

  • Модератор раздела
  • Регистрация: 2009-07-20
  • Сообщений: 2605
    • Просмотр профиля
От общественной организации "Федерации рыболовного спорта Самарской области ", за 1,2,3 места в личном зачёте по карте номиналом 1000 рублей магазина Спортмастер , коробка Daiwa для рыболовной мелочёвки за волю к победе -4 место в личном зачёте .

« Последнее редактирование: 19 Марта 2022, 19:29:55 от Моряк »
Председатель правления общественной организации "Федерация рыболовного спорта Самарской области"

Оффлайн ТИМ

  • Регистрация: 2011-07-01
  • Сообщений: 1441
    • Просмотр профиля
Протоколы?....


как будут готовы офиц протоколы,то будут выложены

Оффлайн ТИМ

  • Регистрация: 2011-07-01
  • Сообщений: 1441
    • Просмотр профиля
А предыдущие, где ты зачемпионил?
при чем тут прошлые соревы и эти?эти соревы я проводил,я и выложу

Оффлайн Моряк

  • Модератор раздела
  • Регистрация: 2009-07-20
  • Сообщений: 2605
    • Просмотр профиля
Доброго дня!
Протокол был сделан в полевых условиях, зима. Главный судья соревнования Табаков В.А. ССВК занимается протоколом.
Взял на заметку, чтобы протокол был уже на следующий день, после соревнований зимних видах дисциплин.
Председатель правления общественной организации "Федерация рыболовного спорта Самарской области"

Оффлайн sauron

  • Регистрация: 2008-12-09
  • Сообщений: 8613
  • груза и поводки
    • Просмотр профиля
 Андрей, да не надо тут официоза уж такого ;) Достаточно фото на телефон, обычно всегда сами же участники и снимают сами.

Оффлайн Моряк

  • Модератор раздела
  • Регистрация: 2009-07-20
  • Сообщений: 2605
    • Просмотр профиля
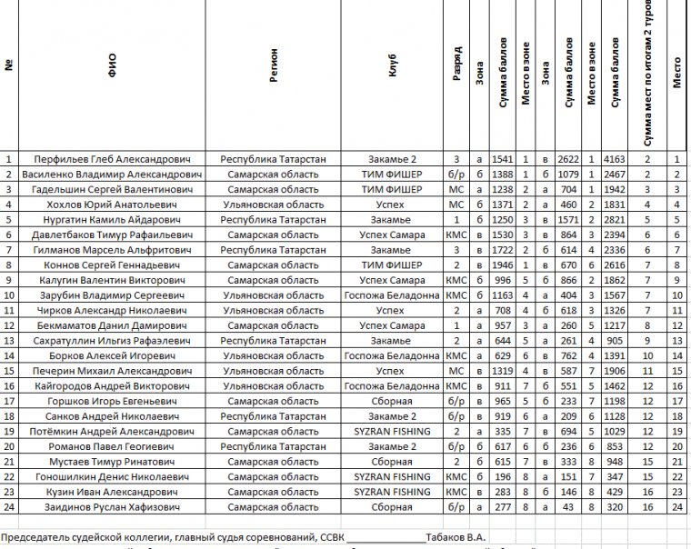
Протокол личка



« Последнее редактирование: 24 Марта 2022, 10:30:49 от Моряк »
Председатель правления общественной организации "Федерация рыболовного спорта Самарской области"

За это сообщение сказали спасибо:


 








SimplePortal 2.3.3 © 2008-2010, SimplePortal